朋友们,真的是大事都赶在一块了。
前些日子,在预测2025年保险变化的时候,我提了一嘴,生命周期表和预定利率调整。
但没想到,刚开年没多久,第四套生命周期表就真要实施了。

然后今天,我们又看到了,预定利率将要动态调整的消息,文件都出来了,真的是双重暴击。

生命周期表,是保险业的灵魂和根基,影响着产品定价。
而预定利率同样如此,是产品定价的参考利率。
这两者变动,在保险行业无愧是一顶一的重大事件。由此呢,在看到消息后,我就想着发篇文章,和大家聊聊。
先说生命周期表的影响,再聊预定利率。

再进入主题前,先和大家聊几句,保险产品到底是怎么定价的。
这个我举个例子让大家便于理解。
比如老王,雄心壮志,他想开一家保险公司。那么他最关键的就是要搞明白,保险公司是怎么赚钱的。
若是卖其他实物商品,譬如数码、服饰这些,这些成本是较为清晰的。
人工是多少、生产成本是多少,场地、营销、需要多利润这些。
但保险产品和其他产品略有不同,它的定价是要基于未来的。
这样老王就会发愁,该找什么参照物呢?保险产品的成本到底有哪些?
聪明的老王发现,虽说保险与其他实物不同,但只要算清楚,每个环节的价格,成本也就出来了。
比方说,要卖一款寿险。是责任最简单的。以身故为赔付条件的险种。人挂了,就赔钱。
那么最先要计算清楚的就是,纯保费成本需要多少。要有一个参照的数值,大致了解到,对应年龄的死亡风险,来去计算成本。
然后呢,风险成本算完后,就和其他商品一致,要计算好,人工、影响、场地、需要多少利润等等。
绕着一圈呢,就是想让大家清楚,保险产品是怎么定价。
以保障型产品为例,大致就这些。

这里面呢,纯保费,就是保险产品最核心,就要依靠生命表和预定利率来计算的。
生命表就是根据过往一个时间段,有足够参考性的人口数据,发生死亡概率而推算出来的。
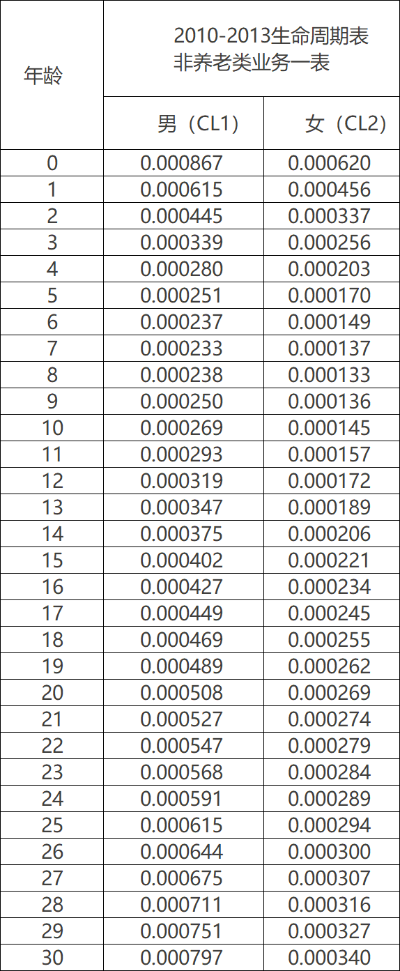
具体呢就长这样。

这个是之前2010-2013老版的生命周期表。
看起来有些复杂,我举个例子,让大家便于理解下,看看它是怎么影响着产品定价。
之前我们来测算产品费率的时候,总会拿30岁男性。
那咱就以30岁男性为例,取表CL1的概率为例。30岁男性的预定死亡率是千分之0.797。
这里面有个粗略算价格的公式,风险保费=保额×预定死亡率/1+定价利率。

比如说,30岁的男性,买100万的保额,保至60岁。现在的定价利率是2.5%。
把对应公式带入,算出来的风险成本是777.5。
就是光保障成本是这些,而市面上顶级定寿价格,也就1100元左右,足以看出,这些保险公司是多么卷,产品多么极致了。
当然了,这是一年期产品的价格,我只是作为参照。如果拉入长期的话,则要把其他年龄,按照上述公式整合计算下。
咱不是为了计算保险产品的价格,就是单纯的列出,让大家有个参考,知道为生命周期表的死亡发生率改变,会对保险产品定价有所改变。
那下面再来和大家说说新版的什么周期表有什么改变?

生命表从最初版后,基本每十年更新一次。上一次是2013年版,到现在,正好10年过去了。
上一次征求意见稿共更新了7个表。
与之前版本不同,新加入了大湾区专属的三个表。
这代表着未来大湾区的居民,会有专属的产品,价格上区分于其他地区。

非养老业务,有两个表主要是影响健康险——包括重疾、防癌、医疗险这类的健康险;也包括定寿、终身寿这些。
养老业务顾名思义,影响的就是养老金。
上述这些表我们不需要知道干啥的,只需要结果就行。
具体结果呢,其实大家也能有所感受,随着医学发展,经济情况变好,那人均寿命自然会相应提高。
所以最新一般生命周期表,最大的改变就是,死亡率降低了,降幅基本都在20%以上。

除了死亡率降低外,另一方面就是预期寿命增加了。
养老业务表,0岁男孩、女孩,预期寿命是84.46、90.08,比上一版涨了将近2岁。

这些数值的改变,都会真切的影响到我们购买产品。
如此而来就会导致以下影响——
其一、我们买的定寿、定额终身寿,价格会稍微便宜一些。
定期寿险,我们用上述计算公式带入,就非常容易理解。因为新版本生命周期表的死亡率降低了。
还是30岁男性,死亡率降至千分之0.623,那么带入计算结果,价格就变为607,降幅很明显。所以,定期寿险,会降价。
但若预定利率降至2.0%后,就未必会降价了。
其二、养老年金会变贵!
养老金,其实逻辑也很好理解。
因为死亡率降了,人的寿命增加了,养老金总数不变的情况下,每年到手的钱必然会减少。
比方说,我们花100万,买一款养老金。
60岁时,我们每年可以领10万。
但生命表更新后。
同样的保费,可能只会领8万多了。
并且呢,养老金一般会有现金价值。受寿命延长影响,现金价值也会相应减少。
还有,若是叠加预定利率下调,对养老金来说,将会是暴击。
总而言之就是,存养老钱的成本增加了。退休后,想领同样的钱,需要付诸更多的成本。

说完生命周期表,我再聊聊预定利率这个事。
今年预定利率会调整,在我看来就是或早或晚的。因为去年末,在十年期国债降至1.7%左右的时候,我就和大家提到过,预定利率在2025年必然会调整。
以后呢,预定利率变动会遵循动态机制。
这个呢在去年预定利率调整的时候,我就和大家提到了。

要习惯由市场利率,就是LPR、10年期国债、5年期定存这些影响保险的预定利。
目前业内专家对预定利率评估值是2.5%,没有超过25个基点,由此暂时不会调整。但依照目前的利率下行速度,固定利率下调至2.0%的那天,并不会太远了。

那对我们购买产品有哪些影响呢?
相对来说,定期寿险,我觉得不会受到过多的干扰,按照正常节奏购买即可。
毕竟影响我们该买价格的不只有产品价格,也有年龄的影响。
同样的产品,30岁买就是要比31岁购买更便宜一些。
而且我觉得定期寿险,一直是一个被低估,没有起到应有重视程度的险种。
其余长期险,重疾险、固定类增额终身寿这些,随着预定利率下调,影响还是比较大的,有配置需求的,要重点留意。
至于分红险,我觉得本身浮动部分收益占比就多,紧迫度可能相对靠后。
当然影响最大的还是,生命周期表和预定利率双重影响下的——养老金!
真的,固定领取的高收益的养老金即将退出历史舞台了。
而且随着生命周期表的更新,除产品外,也让我更加意识到了养老这事的严峻。
我们这代人,人均寿命逐渐增长是必然的,特别是寿命周期的更新,更加是加重了这一预期。
所以除了对产品领取变少的关注,我也想表达的,是要对未来养老,建立更提前、更充足的准备。
像我父母这代人,他们准备养老金的时候,大概是45岁左右。
那对于90后、00后,因寿命增长的关系,就要在35-40岁之间开始储备养老这件事。
当然,这个年龄段我只是大致的估测,看个人对养老的预判,尽量是越早越好。
以前总觉得,长寿风险离我们很远。好像只活在影视剧里。看日本或其他发达国家,老年人到老后,如何再次投入岗位发光发热。
但现在随着寿命拉长,这件事似乎不再遥远,百年人生,有时候不仅意味着和谐、美满。要是钱不够花的老年生活,或许真不值得期待。
好了,今天就和大家聊到这里。
转眼间我从业保险已经有五个年头,悄然间竟然经历这么多的大事。
连预定利率下调,都经历了这么多次,说不感慨那是假的。
如果对长期险,重疾、固定类增额,养老金这些有配置需求的,要抓紧留意了。
特别是养老金,本身预定利率下调,影响就是最大,这次生命周期表的正式实施,双层BUFF叠加了。
众民保2025
星福家天马版:躺收最快的增额寿,钱存进去,2年返本!
慧择小马老师|458 浏览
达尔文宝贝计划12号来了!能赔先天性疾病、最低只要600多块
慧择小马老师|826 浏览
短短3天,她帮客户要回了漏赔的100万!
慧择小马老师|360浏览


